校内新闻

站内链接

喜报 | 学校2023届毕业生考研再创佳绩

  供稿:石小龙 审核:王春玲  日期:2023-06-23  


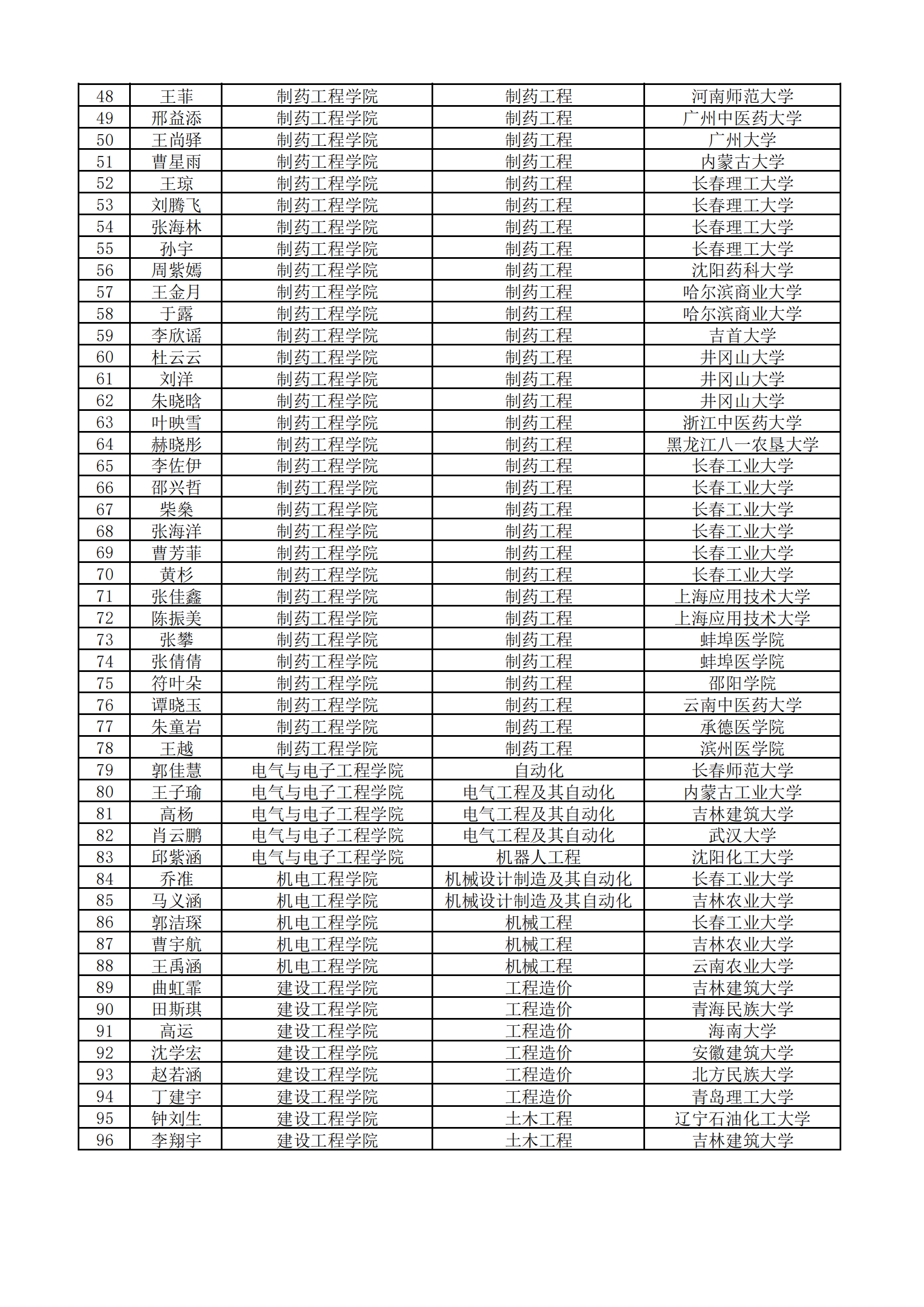
伴随着2023届毕业生考研复试落下帷幕,我校考研再创佳绩,成绩喜人。全校共有96名学生考取吉林大学、武汉大学、广州大学、埃克塞特大学等国内外知名高校硕士研究生,考取人数与考取学校层次均稳步提升。

学校认真落实立德树人根本任务,高度重视学生考研工作,持续加强教育引导、人文关怀与服务保障,着力解决考研学生的学习需求,将学习能力提升贯穿人才培养全过程。一是谋划在前,营造氛围。将考研作为学生学业发展的重点工作之一推进落实,将考研引导融入专业教育和学生职业生涯规划教育,开展考研讲座、考研经验分享会、考研座谈会、考研学子访谈等形式的活动,分享经验和学习方法,形成榜样示范效应,坚定同学们追求学业发展的信心。二是精准定位,设置课程。学校开设考研英语、考研数学等课程,安排骨干教师为考研学生讲授考研内容,让学生完成本科课程学习的同时,重点针对考研需求,从考纲考点、备考策略、考试特点等方面逐步提升学生知识储备和备考能力,制定阶段学习计划,增强考研信心。三是过程保障,服务先行。学校开放教室、图书馆等公共场所,为考生提供优良的学习环境;召开考研指导会,从专业前景、导师选择、初试复试、院校调剂等方面为考研学生提供形式多样的指导和帮助;建立考研学生交流群,定期推送考研相关信息,答疑解惑。

近年来,学校持续加强学风建设,引导学生树立求真务实、踏实做事的良好学风。考研学生秉承学校“两强”精神,用辛勤和汗水铺就了学业深造的道路。他们的成功为学校的教育教学事业添光加彩,也为全体同学树立了良好的学习榜样,祝愿考研上岸的学子们乘风破浪、前程似锦、未来可期!希望全校学子们以他们为榜样,志存高远、以梦为马、不负韶华!(附考研信息统计表)